W Tang, K Nuamah, V Belle
While LLMs have demonstrated impressive abilities across various domains, they struggle with two major issues. The first is that LLMs trap themselves into local optima and the second is that they lack exhaustive coverage of the solution space. To investigate and improve these two issues, we propose Lyria, a neuro-symbolic reasoning framework building on the integration of LLMs, genetic algorithms, and symbolic systems, comprising 7 essential components. Through conducting extensive experiments with 4 LLMs across 3 types of problems, we demonstrated the efficacy of Lyria. Furthermore, with 7 additional ablation experiments, we further systematically analyzed and elucidated the factors that affect its performance. In addition, based on Lyria, we extend the ideas to the fine-tuning process of LLMs and introduce LAFT which enables a weaker model to imitate the reasoning process of a stronger model that reason under the Lyria reasoning framework. We demonstrate that the significant effectiveness of LAFT by conducting extensive experiments against 9 constructed baselines. We finally reveal the limitations and provide insights into future directions.








W Tang, Y Li, C Sypherd, E Polgreen, V Belle
ACL 2025 Findings
Grammar plays a critical role in natural language processing and text/code generation by enabling the definition of syntax, the creation of parsers, and guiding structured outputs. Although large language models (LLMs) demonstrate impressive capabilities across domains, their ability to infer and generate grammars has not yet been thoroughly explored. In this paper, we aim to study and improve the ability of LLMs for few-shot grammar generation, where grammars are inferred from sets of a small number of positive and negative examples and generated in Backus-Naur Form. To explore this, we introduced a novel dataset comprising 540 structured grammar generation challenges, devised 6 metrics, and evaluated 8 various LLMs against it. Our findings reveal that existing LLMs perform sub-optimally in grammar generation. To address this, we propose an LLM-driven hybrid genetic algorithm, namely HyGenar, to optimize grammar generation. HyGenar achieves substantial improvements in both the syntactic and semantic correctness of generated grammars across LLMs.




W Tang, V Belle
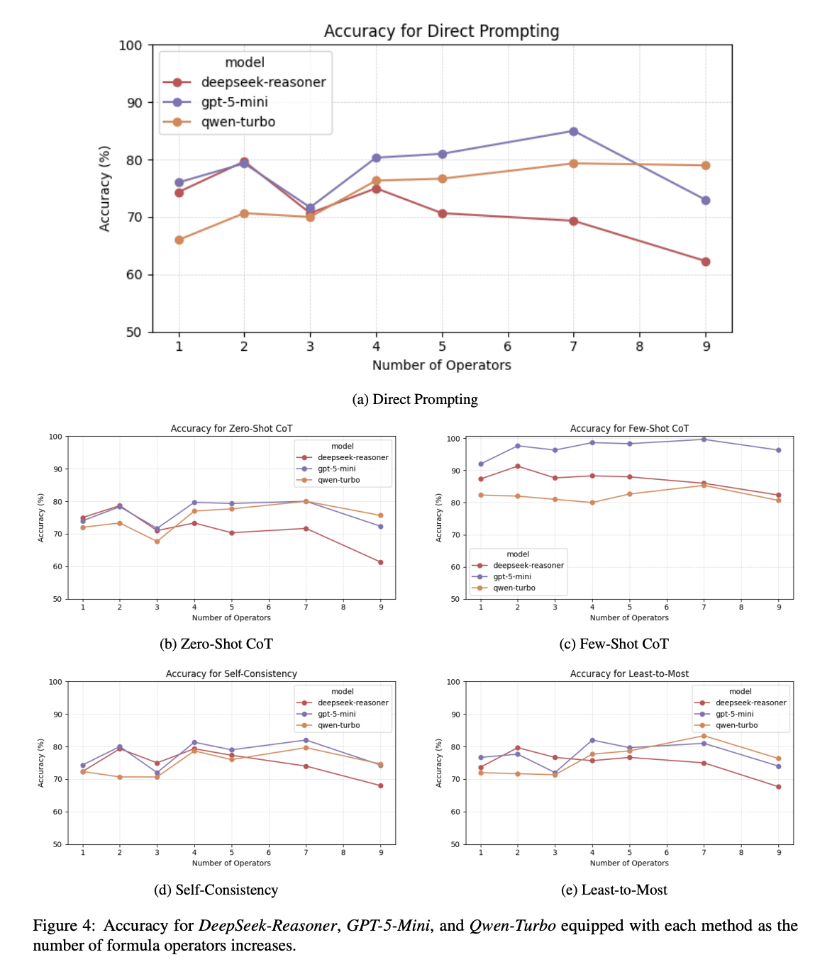
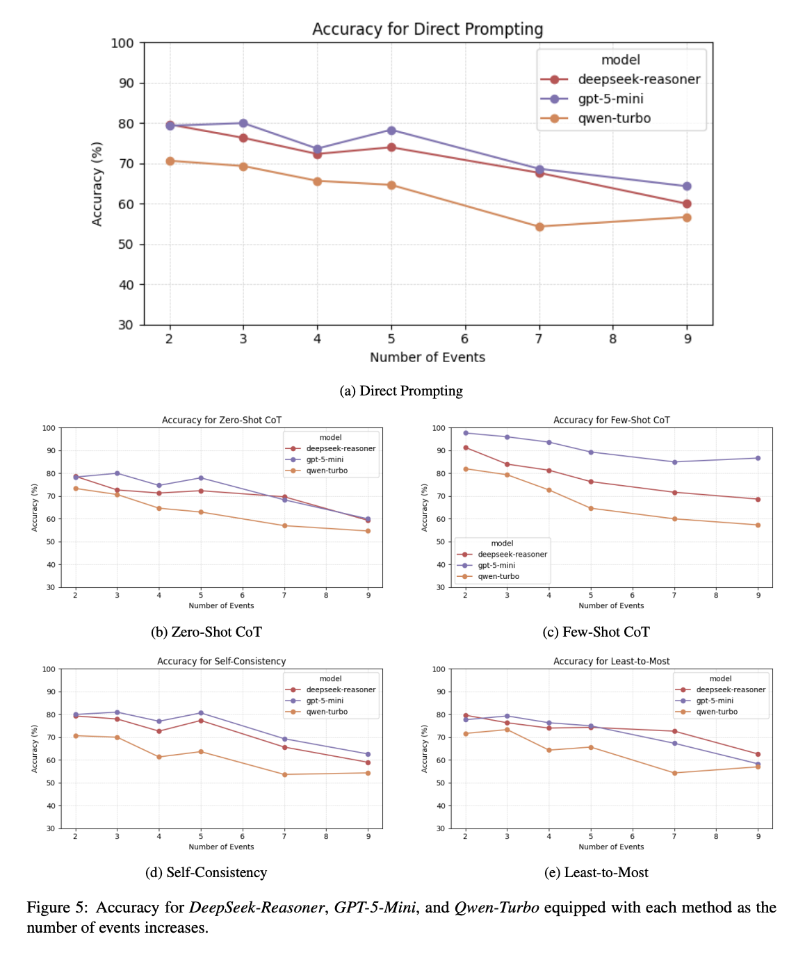
Temporal reasoning (TR) is a critical component of artificial intelligence, encompassing understanding and processing temporal information and relationships between events. To discover and study the TR ability in Large Language Models (LLMs), various datasets have been constructed in different ways for evaluating various aspects of TR ability. Our work proposes a novel approach to design and develop a pipeline for constructing datasets to evaluate the TR ability of LLMs by leveraging random directed graph generation, LTL formula, and the NuSMV model checker. Based on the pipeline, we have also constructed a dataset as a benchmark, namely LTLBench, consisting of 2,000 TR challenges and evaluated six LLMs with it. Furthermore, we have conducted additional experiments to discover the impact of increasing the number of events and formula operators on the complexity of TR problems and the performance of LLMs. We have demonstrated that although LLMs exhibit some promise in handling TR challenges, they still struggle with complex TR. We expect this work can offer insights into TR ability in LLMs while also providing a valuable tool for future TR evaluations.





W Tang, V Belle
18th International Conference on Neural-Symbolic Learning and Reasoning
Theory of Mind (ToM) refers to the ability of individuals to attribute mental states to others. While Large Language Models (LLMs) have shown some promise with ToM ability, they still struggle with complex ToM reasoning. Our approach leverages an external symbolic executor, specifically the SMCDEL model checker, and fine-tuning to improve the ToM reasoning ability of LLMs. In our approach, an LLM is first fine-tuned through pairs of natural language and symbolic formulation representation of ToM problems and is then instructed to generate the symbolic formulation with a one-shot in-context example. The generated symbolic formulation is then executed by the SMCDEL model checker to perform transparent and verifiable ToM reasoning and give the final result. We demonstrate that our approach, ToM-LM, shows a significant improvement over all the constructed baselines. Our study proposes a novel view about externalizing a particular component of ToM reasoning, mainly reasoning about beliefs, and suggests generalizing it to other aspects of ToM reasoning.



